Academix

A Non-profit Organization to Help Students Study, Explore, and Engage

K-2
Kindergarten
grade 1
grade 4
grade 5
grade 6
grade 7
grade 8
grade 9
math 10C (gr 10)
math 20-1 (gr 11)
math 30-1 (gr 12)
Postsecondary
Financial Literacy
Free book giveaway

Math Terms - Index Cards

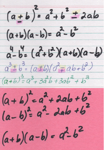
Algebraic Formulas   Exponents and Radicals   Radicals  
 

 

Mixed Radicals
 
    Exponents: Non-Formula Use Case  
Radicals as Exponents
 
       

 

Quadratics

 

Vertex Form

  The arms of a parabola

   
         
The Quadratic Formula


What is a Singularity in Math?
  No roots, or one root, what does that look like?


Root based notations
PROOF
What about difference of roots?
   
The Factoring Lemma is useful want we want to simplify a rational polynomial quickly.

For the following fraction to simplify we would need (x-2) to divide the denominator. No other than (x-2) would be interesting here.

Assume p(x) = 2x^2 + x - 10;
A quick check of p(2) shows = 0 and it thus becomes clear the denominator is divisible by (x-2). This also helps the factoring evolve faster.

     
What do we need for plotting a quadratic?

       

 

Angles and Intro to Trigonometry

     
     
   

   
Trigonometric Formulas
 
       
   

Academix: Study, Explore, Engage...